Chapter 3 - EXPONENTS AND ALGEBRAIC FRACTIONS
INTRODUCTION TO POSITIVE EXPONENTS
Objectives
In this section, you will define exponents and perform computations with a calculator. In addition, you will solve problems using the formula for compound interest and tables for demonstrating bacteria growth to illustrate the applications of exponents.
Vocabulary : bn means b times itself n times; b is called the base and n is called the exponent.
Example 1. Write 35 using the definition of exponents.
Three is the base and five is the exponent.
Example 2. Use a calculator to compute the following.
The exponent key for the Tl-30x II S, the recommended calculator for the course, is ^. For other calculators, the exponent key is yx. The explanation below is for the Tl-30x II S.
Explanation: Why is -6.24 negative while (-6.2)4 is positive?
Recall the order of operations: compute exponents before multiplication.
A negative times a negative four times is positive. Generally any number raised to an even power will be positive.
Explanation: Why are both answers negative?
A negative times a negative three times is negative. Generally, a negative number raised to an odd power will be negative.
Study Tip: Parentheses often make a difference in the answer. Make a note card showing examples with and without parentheses and with even and odd exponents. Review the card as homework.
For many transactions, interest is added to the principal, the amount invested, at regular time intervals, so that the interest itself earns interest. Examples of accounts that use compound interest are savings accounts, certificates of deposit, savings bonds, and money market accounts.
Example 3. When the interest is compounded monthly, the formula below computes how much money will be in your account at sometime in the future. F = P(1 + i)n
where: F is Future value
P is amount invested or Principal
i is interest rate per month
n is the number of times compounded
a. If you invest $3,500 at an annual interest rate of 6%, how much money will you have after 20 years?
Make a table of the information and variables in the problem.
Explanation: You need to divide 0.06 by 12 because annual interest is per year and the formula is per month.
You need to multiply 20 by 12 because there are 12 months in a year.
Substitute the values into the formula, F = P(1 + i)n.

Substituted the values into the variables.
F = 3,500(1.005)240
Added inside parantheses.
F = 3,500(3.310)
Computed the exponent.
F = 11,585
Multiplied
You will have $11,585 in twenty years.
b. How much money should you invest at an annual interest rate of 3% if you want $15,000 in 10 years?
Make a table of the information and variables in the problem.
Substituted the values into the formula, F = P(1 + i)n.

Substituted the values into the variables.
15,000 = P(1 + .0025)120
Added inside parantheses.
15,000 = P(1.349)
Computed the exponent.
F = 11,119.35
Divided both sides by 1.349
You need to invest $11,119.35 now in order to have $15,000 in ten years.
Example 4. There are 5,000 bacteria initially present in a culture. The culture grows at a rate of 8% each day. Find an equation that relates number of bacteria and days.
a. First find how many bacteria will be present one day later?
The number of bacteria present one day later is equal to the initial amount plus how many grew in one day or the increase.
The new amount of bacteria is all of the initial amount, 100%, plus 8% of the initial amount or 108% of the initial amount.
Number of bacteria =
= initial amount + Increase
= 5,000 + 0.08(5000)
The increase is 8% of 5,000.
=(1)(5000) + 0.08(5000)
1 means 100% of initial amount
= 
The new amount of bacteria is all of the initial amount, 100% plus 8% of the initial amount or 108% of the initial amount.
= 5,400
5,400 is 108% of 5,000.
There are 5,400 bacteria after one day.
b. How many bacteria will be present two days later?
The number of bacteria two days later is equal to 108% of the of the number of bacteria present one day later, or
There will be 5,832 bacteria two days later.
c. How many bacteria will be present three days later?
There will be 6,299 bacteria three days later.
d. Use the results from the above to complete the table below.
Explanation: The results from parts a, b, and c were inserted into the calculation column. This suggests the pattern that on the fourth day the number of bacteria is found by computing 5,000 times 1.08 raised to the fourth power.
e. What is the equation that relates the number of bacteria to time?
, where n is the number of days.
f. Use the equation to calculate the number of bacteria present after 35 days.

Substitute 35 into n.
B = 5,000 o 14.79.
Compute the exponent.
B = 73,950.
Multiply.
There will be 73,950 bacteria in 35 days.
Study Tip: It is important to see the logic of the calculation column.
Summary
Not everything grows at a constant rate as shown in Chapter 2. In this section, we examined what happens when something grows exponentially. Savings accounts, populations, and radioactive decay all change in this way. Equations with the variable as an exponent model this behavior. Such equations are called exponential equations.
Vocabulary : bn means b times itself n times; b is called the base and n is called the exponent.
When computing exponents:
Know why -6.78 is negative.
Know why (-6.7)8 is positive.
Know why the answer doesn't change if the exponent is odd whether or not you have parentheses.
Know how to use your calculator.
Know the logic of how the equation in Example 4 was derived.
NEGATIVE EXPONENTS AND SCIENTIFIC NOTATION
Objectives
This section will introduce negative exponents and scientific notation. We will usenegative exponents to compute monthly mortgage payments. Scientific notation is used to write very large or very small numbers in a convenient and informative way especially by health professionals, scientists, and engineers.
Vocabulary : A base with a negative exponent must be changed to its reciprocal to make the exponent positive.
Explanation: Two numbers are reciprocals if their product is one. The reciprocal of 
Example 1. Compute 5-2 using the definition and a calculator. (The explanation is for the TI-30X II S calculator.)
Example 2. Compute the following using your calculator,
Parts a and b illustrate the importance of parentheses when you have even exponents.
If the base is less than one and the exponent is negative, the answer will be large.
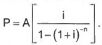
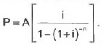
Example 3. Use the following formula to find the monthly payment of a loan.
P is the monthly payment.
A is the amount of the loan.
n is the number of monthly payments,
i is the interest rate per month.
Find the monthly payments on a 48-month car loan of $14,500 at 3% annual interest.
Make a table of the information and variables in the problem.
Explanation: All the problems in this section are given as annual interest and monthly payments. You will always need to divide the interest rate by 12.
Substitute the values into the formula 

Substituted values in the formula.

Added inside the parantheses.

Simplified the denominator using a calculator, 1 - 1.0025^-48

Divided to obtain 0.0221.
P = 320.45
Multiplied to obtain 320.45.
The monthly payments are $320.45.
Study Tip: You do not have to memorize the formula to find the monthly payment. You do need to know how to use the formula.
Scientific Notation: Scientific notation indicates very large or extremely small numbers conveniently.
Example 4. How far can you see at night?
The farthest object that can be seen with the naked eye from North America is in the Andromeda Galaxy. The Andromeda Galaxy is 2,300,000 light years away. A light year is 10,000,000,000,000 kilometers.
The zeros can be confusing. Writing the numbers in scientific notation eliminates the need to write all the zeros.
To answer the question, multiply the two numbers together.
Scientific notation is an easy way to indicate the answer.
Vocabulary : A number is in scientific notation if it is in the form P●10n
where 1 ≤ P < 10 and n is an integer.
An integer is one of the following numbers ....-3, -2, -1,0, 1, 2, 3, ....
The idea of scientific notation is formulated on our number system being base 10. Consider the number 2,453.9678
Each digit has its own value depending on its position.
Example 5. Convert each number to scientific notation.
a. 2,340,000,000
Using the definition above, P = 2.34.
The 2 is in the 109 place. Remember that the ones' place (the first zero) is 100
2,340,000,000 = 2.34*109
b. 0.0000967
Using the definition above, P = 9.67.
The 9 is in the 10-5 place. Remember that the first zero to the right of the decimal point is 10-1.
0.0000967 = 9.67*10-5
Example 6. Convert from scientific notation to decimal notation.
Summary
Negative exponents and scientific notation play key roles in the fields of business and science. You must feel comfortable manipulating these principles to solve very important practical problems.
Remember.
A base with a negative exponent must be changed to its reciprocal to make the exponent positive.
Scientific notation is in the form of P * 10n where 1 ≤ P < 10 and n is an integer.
PROPERTIES OF EXPONENTS
Objectives
This section examines the algebraic properties of exponents. This is particularly important for students who plan to take Intermediate Algebra, MAT 100.
Properties of Exponents:
Property 1. 
When multiplying with the same bases, add the exponents.
Property 2. 
When there is an exponent raised to a power, multiply the exponents.
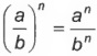
Property 3. 
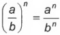
When two bases are being multiplied and are raised to the same power, then each base is raised to that power.
Property 4. 
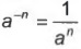
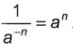
A negative exponent means to use the reciprocal. If the base is in the numerator, then when you compute the reciprocal the base goes to the denominator.
Property 5. 
A negative exponent means to use the reciprocal. If the base is in the denominator, then when you compute the reciprocal the base goes to the numerator.
Property 6. 
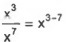
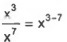
When dividing with the same bases, subtract the exponents.
Property 7. 
Any base other than zero raised to the zero power is one.
Property 8. 
When two bases are being divided and are raised to the same power, then each base is raised to that power.
The following examples illustrate how the properties are used.

Added the exponents. Remember x = x1

Wrote y as y1

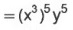
Used the property (ab)n=anbn

Multiplied the exponents.
Study Tip: Write the properties on separate note cards and review them frequently.

Used property (ab)n=anbn

Multiplied the exponents and computer 53.

Write the expression with positive exponents.

Only x was raised the -4 power because no parantheses were present.

Write the expression with positive exponents.

Raised the entire denominator to the numerator because of the negative exponent.
=57(x3)7
Used property (ab)n = anbn
78,125x21
Used property (an)m = anm

Write the expression with positive exponents.

Used property 
=x-4
Subtracted exponents.

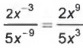
Used property 

Write the expression with positive exponents.

Used properties
and
. Only the variables are raised to the negative exponents.

Used property 

Subtracted the exponents.
Summary
Manipulating exponents is an important skill in MAT 100, Intermediate Algebra. In MAT 011 you are expected to memorize the properties of exponents and to apply them to solve basic problems.
INTRODUCTION TO ALGEBRAIC FRACTIONS
Objectives
This section will introduce fractions with a simple application and then explain reducing, multiplying, and dividing algebraic fractions.
Example 1. Suppose the cost of removing p percent of the particle pollution from the water of a polluted lake is indicated by the equation:
a. Find the cost for p = 70.

Substituted 70 for p.

Multiplied in the numerator and subtracted in the denominator.
C = 10,033.33
Divided.
The cost of removing 70% of the pollution from the lake is $10,033.33.
b. Find the cost for p = 80.

Substituted 80 for p.

Multiplied in the numerator and subtracted in the denominator.
C = 17,200
Divided.
The cost of removing 80% of the pollution from the lake is $17,200.
c. Find the cost for p = 90.
The cost of removing 90% of the pollution from the lake is $38,700.
The cost does not increase at a constant rate. The cost went up approximately $7,000 when p increased from 70 to 80 percent while the cost went up approximately $21,000 when p increased from 80 to 90 percent. If you compute the cost for 95% and 99%, you will see that the cost increases dramatically.
d. Find the cost for p = 100.
Division by zero is undefined, so we cannot calculate the cost of removing all of the pollution.
Study Tip: You should have a note card stating that a numerator divided by zero is undefined; review it at least twice a week.
Reducing Algebraic Fractions: The basic idea behind reducing fractions is
when x is not zero.
Example 2. Reduce
to lowest terms.
Writing a term as a product is called factoring. 8 and 3 are factors of 24 and
3 and 3 are factors of 9. We must choose factors which have a common number. Other factors of 24, such as 4 and 6 or 2 and 12, are not as desirable.
Rule: Multiplying Fractions:
Multiply the numerators and denominators then reduce.
Rule: Dividing Fractions:
Use the reciprocal of the second fraction (invert the divisor) then multiply and reduce.
Example 3. Multiply
and reduce to the lowest terms.
Study Tip:
1. Students must know the multiplication tables in order to successfully manipulate fractions. If you had problems with fractions in the past, take time to practice the multiplication facts; the Developmental Studies Lab should be able to help.
2. Write the formulas for multiplying and dividing fractions on a note card and review them at least twice a week.
Common Errors: The following problems are NOT correct.
In each problem above, terms (what are being added or subtracted) are cancelled. Only factors (what are being multiplied) can be cancelled. In problem 1, the x is incorrectly cancelled. In problem 2, the fours are incorrectly cancelled. In problem 3, the 9 and the 3 are reduced incorrectly.
Using the Concept of Reducing Fractions to Change Units
The method of converting units is sometimes called the "Conversion Factor Method of Unit Conversion", an important concept in science classes. Most MCCC students are required to take a science course in order to graduate.
Example 5. Convert 90 feet per second to miles per hour.
To begin, write 90 feet per minute as a fraction,
Write 1 minute = 60 seconds as a fraction (or ratio),
Multiply the two fractions together,
Cancel the seconds and multiply 90 and 60. This is shown below:
So, 90 feet per second is the same as 5,400 feet per minute. The entire process of converting 90 feet per second to miles per hour is explained below. The conversion, 1 mile = 5,280 feet is needed.
90 feet per second is the same as 61.36 miles per hour.
Example 6. Humans have been shown to have accumulated as much as 4 µg of body weight of DDT in their tissues. If a woman weighs 156 pounds, how much DDT is in her body?
Explanation: 4 µg means that there are 4 µg of DDT per gram of body weight. 1 µg is 10-6 grams, or a very small weight.
Conversions: 454 grams = 1 pound; 10-6 µg = 1 gram.
The woman has 0.2833 grams of DDT in her body.
Summary
: This section should help you better understand the arithmetic of fractions. For students who are planning on taking MAT 100, Intermediate Algebra, you will see this topic again.- You cannot divide by zero. (The answer is undefined.)
- The factors of a quantity are any two expressions that when multiplied together result in that quantity.
- To reduce a fraction, factor the numerator and denominator and then cancel all the factors that are in both the numerator and denominator.
- To multiply two fractions, multiply the numerators and denominators and then reduce.
![]()
- To divide two fractions, use the reciprocal of the second fraction and then multiply.
![]()
ADDING AND SUBTRACTING ALGEBRAIC FRACTIONS
Objectives
This section will explain how to add and subtract fractions.
Procedure:
- Find the least common denominator, LCD.
a. For numbers, the least common denominator is the smallest number into which all of the denominators divide evenly.
b. For variables, the least common denominator is the variable with the highest exponent. - Convert each fraction to a fraction with the least common denominator.
a. Decide what you need to multiply each denominator by to get the LCD.
b. Multiply the numerator and denominator by this quantity. - 3. Combine the numerators and write as a single fraction.
The smallest number into which 4 and 10 divide without a remainder is 20. The variable with the highest exponent is x. You needed to multiply 4x by 5 to get 20x. You needed to multiply 10 by 2x to get 20x. Multiplied each fraction. Wrote as a single fraction. Note that 35 and 6x are unlike terms and can't be combined.
The smallest number into which both 6 and 15 divide without a remainder is 30. The variable with the highest exponent is x3. You needed to multiply 6x2 by 5x to get 30x3. You needed to multiply 15x3 by 2 to get 30x3. Multiplied each fraction. Wrote as a single fraction.
Study Tip: You should write the steps to add algebraic fractions on a note card, along with an example, so you can understand what they mean.
Summary
This section should help you better understand how to add and subtract numerical fractions. Learning to find the least common denominator (LCD) is imperative when working with fractions. For students planning on taking MAT 100, Intermediate Algebra, you will see these again.
SOLVING EQUATIONS WITH FRACTIONS
Objective
This section will demonstrate how to solve equations with fractions.
Procedure:
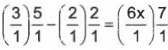
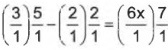
To solve an equation with fractions, multiply all the terms by the least common denominator, LCD, and reduce the fractions, thus eliminating them. Then use your skills from Chapter 1 to solve the equation.
Example 1. Solve
The traditional answer to fractional equations is a fraction. However, dividing and writing the answer as a decimal is also correct.
Example 2. Solve

The LCD is 18x.

Multiplied all the terms by 18x.

Redced. 18x divided by 6x equals 3, 18x divided by 9x equals 2, 18x divided by 3 equals 6x. (Note all the denominators are one. You don't need to write the one.)
15-4 = 42x
Multiplied
11=42x
COmbined like terms
x = 11/42.
Divieded both sides by 42.
Study Tip: You should write the procedure on a note card, along with an example, so you can understand how to solve equations involving fractions.
Summary
The new concept in this section: When solving equations with fractions, multiply all of the terms by the LCD and then reduce.
Students often confuse the procedures for adding or subtracting fractions (simplifying expressions) with solving equations with fractions. When adding fractions, you want the LCD in your answer. When solving equations, you use the LCD to eliminate the fractions.
RATIO AND PROPORTION PROBLEMS
Objective
This section will cover applications involving fractions.
Vocabulary :
A ratio is the comparison of two quantities that have the same units. A ratio is usually expressed as a fraction
A rate is the comparison of two quantities that have different units. A rate is usually expressed as a fraction.
Example 1. Which is the better buy? 10 ounces of peanut butter for $1.24 or 16 ounces of peanut butter for $1.89?
To answer the question, express the rate,
For 10 ounces, the cost is 12.4 cents per ounce.
For 16 ounces, the cost is 11.81 cents per ounce.
The 16 ounce jar of peanut butter is the better buy because it is cheaper per ounce.
The two rates in the problem are 
Vocabulary : A proportion is a statement which indicates two ratios or rates are equal (or two equal fractions.)
Example 2. Solve the proportion problem. 
Rule: The basic procedure for solving a proportion problem is to cross multiply.
Cross multiplying means to multiply the denominator of one fraction with the numerator of the other fraction. This can only be done when solving a proportion problem.
Study Tip: You should write the procedure on a note card, along with an example, so you can understand how to solve proportion problems. Review the card frequently.
Example 3. Two people pooled their money to buy lottery tickets. Darrel contributed $25 while Selena put in $20. If they won 8.2 million dollars, how much should each person receive?
Organize the information in a table for each person.
The ratio will be 
Two ratios are expressed, one for tickets and one for Total winnings. These two ratios should be equal.

Crossed multiplied.
205 = 45W
Multiplied
4.556 = W
Divided both sides by 45.
Darrel should win 4.556 million dollars.
Explanation: The answer above is actually W =
, or in practical
terms, W = 4.55555556. So Darrel should win $4,555,555.56.
The ratio will be 
Two ratios are expressed, one for tickets and one for Total winnings. These two ratios should be equal.

Crossed multiplied.
164 = 45W
Multiplied
3.664 = W
Divided both sides by 45.
Selena should win 3.644 million dollars.
Explanation: Using the same reasoning as in computing Darrel's answer, the answer above is actually W =
, or in practical terms, W = 3.644444444. So Selena should win $3,644,444.44.
Example 4. In order to estimate the number of fish in a lake, 85 fish are caught, tagged, and released. Later, 64 fish are caught, and 23 have been tagged. Estimate the total number offish in the lake.
Let T represent the total number of fish in the lake. For the second catch, 23 fish were tagged from a total of 64. When the information is organized in a table, the rows should be labeled Tagged and Total. Since fish are caught twice, the columns should be labeled First Catch and Second Catch.
Explanation: Right after the first catch, 85 fish are tagged out of the lake's total fish population.
The ratio is
. The first catch's ratio should equal the second catch's ratio.

Cross multiplied.
5440 = 23T
Multiplied
237 = T
Divided both sides by 23.
We estimate that there are 237 fish in the lake.
Summary
Ratio and proportion problems can occur in everyday life. Maybe you don't divide lottery winnings or count fish in a lake every day, but this application can be used to fairly divide something based on each person's input, to estimate something based on a sample, to determine dosage of medicine based on weight, to convert recipes, and to determine cost per unit.
Definitions
Ratio: A ratio is the comparison of two quantities that have the same units. A ratio is usually expressed as a fraction.
Rate: A rate is the comparison of two quantities that have different units. A rate is usually expressed as a fraction.
Proportions: A proportion is a statement which indicates two ratios or rates are equal, (or two equal fractions.)
To solve proportion problems, cross multiply.
To solve applications:
- Create a table that organizes the information in the problem.
- Decide what units make up the ratio.
- Set up the proportion and solve.
CHAPTER 3 REVIEW
This unit introduces exponents and algebraic fractions. Many of these skills are needed in MAT 100, Intermediate Algebra. Since the content is so important and can be confusing, plan to spend extra time in test preparation. (Mastery of multiplication tables is crucial)
Section 3.1: Introduction to Positive Exponents
Definition: an means a times itself n times.
Example 3. Initially, 1,000 bacteria are present in a culture. The culture grows at a rate of 4% an hour. Complete the table below to find an equation that models the number of bacteria.
The equation is B = 1,000 * 1,04h.
Section 3.2: Negative Exponents and Scientific Notation
Definition: A negative exponent requires the use of the reciprocal to make the exponent positive.
The monthly payment for the car loan is $405.02.
Definition: A number in scientific notation has the form P * 10n where 1 ≤ P < 10.
Explanation: The 2 is in the 1012 place.
Section 3.3: Properties of Exponents
The properties of exponents are:

Section 3.4: Introduction to Algebraic Fractions
To reduce fractions: Factor the numerator and denominator and then cancel like factors.
To multiply fractions: Multiply the numerators and denominators and then reduce.
To divide fractions: Take the reciprocal of the divisor then multiply. Then reduce.
Section 3.5: Adding and Subtracting Fractions
To add and subtract fractions:
4. Find the least common denominator, LCD.
a. For numbers, the least common denominator is the smallest number into which all of the denominators divide evenly.
b. For variables, the least common denominator is the variable with the highest exponent.
5. Convert each fraction to a fraction with the least common denominator.
a. Decide what you need to multiply each denominator by to get the LCD.
b. Multiply the numerator and denominator by this quantity.
6. Combine the numerators and write as a single fraction.
Section 3.6: Solving Equations with Fractions
To solve an equation involving fractions, multiply all the terms by the LCD and then reduce.

The LCD is 18.

Multiplied all the terms by 18.

Reduced.
4x-12x+15=36.
Used distributive property.
-8x+15 = 36
Combined like terms.
-8x = 21
Subtracted 15 from both sides.

Divided both sides by -8.
Section 3.7: Ratio and Proportion problems
Definitions:
Ratio: A ratio is a fraction that compares two quantities that have the same units.
Rate: A rate is a fraction that compares two quantities that have the different units.
Proportions: A proportion is two equal ratios.
To solve proportion problems, cross multiply.
Example 17. Two school clubs have a car washing fundraiser. Eight members from the Math Club and five members from the Astronomy Club participate. If they raise $462, how much should the Math Club receive?
Organize the information into a table.
Set up the proportion problem.

Cross Multiply
M = 284.31
Divide both sides by 13.
The Math Club should receive $284.31.
Study Tips:
- Practice the review test starting on the next page by placing yourself under realistic exam conditions.
- Find a quiet place and use a timer to simulate test conditions.
- Write your answers in your homework notebook or make copies of the exam. You may then re-take the exam for extra practice.
- Check your answers. The answers to the review test are on page 458.
- There is an additional exam available on the MAT 011 web page, see your instructor.
- Do NOT wait until the night before to study. Practice.

