IMPLICIT DIFFERENTIATION
The equation y = x2 + 1 explicitly defines y as a function of x, and we show this by writing y = f (x) = x2 + 1. If we write the equation y = x2 + 1 in the form y - x2 - 1 = 0, then we say that y is implicitly a function of x. In this case we can find out what that function is explicitly simply by solving for y. Sometimes, however, we must deal with equations relating y to x that are so complicated that it is difficult or even impossible to solve for y in terms of x. (For example, try to solve for yin the equation yy + xy = 10.) If an equation implicitly defines y as a function of x, there is a way to find dy/dx without first explicitly finding y as a function of x, called implicit differentiation.
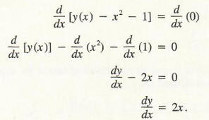
We will use the equation y - x2 - 1 = 0 to illustrate this technique. Instead of explicitly solving for y, assume that it would be possible to solve for y in terms of x; call the resulting function y(x) for simplicity. The equation can now be written as
![]()
Differentiating both sides with respect to x by means of the sum and power rules, we obtain

This same result would be obtained by solving for y so that y = x2 + 1, from which dy/dx = 2x. In this example it is easier to first solve for y and then differentiate, but this will not always be the case.
Example 1
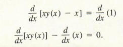
Find the slope of the tangent line to the graph of the equation xy - x = 1 at that point on the graph whose first coordinate is 1 (that is, corresponding to x = 1).
Solution
We must find dy/dx at x = 1. Assume y is a function of x, y = y(x). The relation now is xy(x) - x = 1.
Hence,
and by the extended power rule,
![]()
Substituting these results into Formula (2), we obtain

We solve this equation for dy/dx:

Be careful! When applying Formula (3), keep in mind that the only values of x and y that can be substituted into the right-hand side of Formula (3) are those values that satisfy the original condition 2x2 + xy - 3y2 = x. For instance, we might substitute x = 1, y = 4 to obtain (dy/dx) = (1 - 4 - 2)/(1 - 12) = 5/1; however, (1, 2) is not a point on the graph of 2x2 + xy - 3y2 = x, so the calculation of dy/dx at this point is totally meaningless.
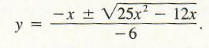
The equation in Example 2 can be written as - 3y2 + xy + (2x2 - x) = 0 and hence is a quadratic equation in y (an equation of the form Ay2 + By + C = o where A = -3, B = x and C = 2x2 - x). Hence, we could use the quadratic formula to solve this equation for y in terms of x, obtaining
![]()
Though we are able to find y explicitly in terms of x , the resulting expression is fairly complex, and it still might be best to find dy/dx implicitly as in Example 2.
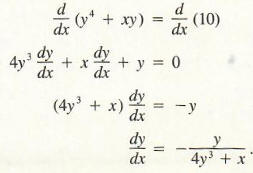
Example 3 Find dy/dx if y4 + xy = 10.
Solving for y in terms of x is difficult if not impossible in this problem. However, by implicit differentiation, we obtain

The following example illustrates how implicit functions can be used to justify the fact that dxn /dx = nxn-1 i is valid when n is a rational number.
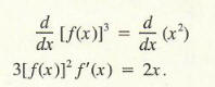
Example 4 Let f(x) = x2/3. Use implicit differentiation to show that
![]()
Since f(x) = x2/3 , we obtain, by cubing,
[f(x)]3 = x2.
Differentiate with respect to x.
Hence,
![]()