Special cases involving linear systems of equations
Solving an inconsistent system by elimination
Solve the system

The variable x can be eliminated by multiplying both sides of the first equation by 2 and then adding.

Both variables were eliminated here, leaving the false statement 0 = 15, a signal that these two equations have no solutions in common. The system is inconsistent, and the solution set is empty. In slope-intercept form, the equations would show that the graphs are parallel lines because they have the same slope but different y-intercepts.
Example 2:
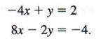
Solve the system

Eliminate x by multiplying both sides of the first equation by 2 and then adding it to the second equation.

This true statement, 0 = 0, indicates that a solution of one equation is also a solution of the other, so the solution set is an infinite set of ordered pairs. The graphs of the equations are the same line, since the slopes and j-intercepts are equal. The two equations are dependent.
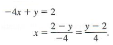
We will write the solution of a system of dependent equations as an ordered pair by expressing x in terms of y as follows. Choose either equation and solve for x. Choosing the first equation gives

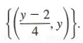
We write the solution set as

By selecting values for y and calculating the corresponding values for x, individual ordered pairs of the solution set can be found. For example, if y = -2, x = (-2 - 2)/4 = -1 and the ordered pair ( - 1, - 2) is a solution.
NOTE : In the previous example we wrote the solution set in a form with the variable y arbitrary. However, it would be acceptable to write the ordered pair with x arbitrary. In this case, the solution set would be written
{(x, 4x + 2)}.
By selecting values for x and solving for y in the ordered pair above, individual solutions can be found. Verify that (-1, -2) is a solution.
Special Cases for Systems
Consider the system of equations

with a_1, b_1, c_1, a_2, b_2 and c_2 not equal to 0. The graphs of the equations are parallel lines and the system is inconsistent if

The graphs of the equations are the same line and the equations are dependent if
