Example: 2x-1=y,2y+3=x
To see your tutorial, please scroll down
Multiplication and Division of Radical Expressions
10.4 Multiplication of Radical Expressions
Multiplication of radical expressions is possible using the rule
root(n,a)root(n,b)=root(n,ab) for a,b∈R,a>0,b>0
EXAMPLE 1. root(2)root(3)=root(2*3)=root(6)
2. root(6)root(33)=root(6*33)
=root(2*3*3*11)=3root(22)
3. 2root(x)root(xy)=2root(x*xy)=2root(x^2y)=2xroot(y)
4. 3root(3,2)*2root(3,5)=(3*2)root(3,2*5)=6root(3,10)
5. root(3,4)root(3,6)=root(3,24)=root(3,2^3*3)=2root(3,3)
Note The final radical must be in standard form.
To multiply one radical by a radical expression of more than one term, we use the distributive law: a(b+c)=ab+ac.
EXAMPLE Multiply 3root(2)(5root(6)-2root(10)) and simplify.
Solution 3root(2)(5root(6)-2root(10))
=3root(2)*5root(6)-3root(2)*2root(10)
=root(12)-6root(20)
=30root(3)-12root(5)
EXAMPLE Multiply 2root(3xy)(4root(x)-3root(y)) and simplify.
Solution 2root(3xy)(4root(x)-3root(y))
=8root(3x^2y)-6root(3xy^2)
=8xroot(3y)-6yroot(3x)
To multiply two radical expressions, each with more than one term, follow the same arrangement as in multiplying polynomials.
EXAMPLE Multiply (2root(3)-4root(2)) by (3root(3)+root(2)) and simplify.
Solution

Hence (2root(3)-4root(2))(3root(3)+root(2))
=6root(9)-10root(6)-4root(4)
=18-10root(6)-8
=10-10root(6)
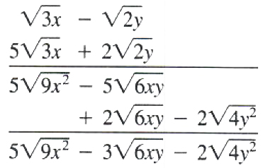
EXAMPLE Multiply root(3x)-root(2y) by 5root(3x)+2root(2y) and simplify.
Solution

Hence (root(3x)-root(2y))(5root(3x)+2root(2y))
=5root(9x^2)-3root(6xy)-2root(4y^2)
=15x-3root(xy)-4y
=15x-4y-3root(6xy)
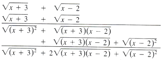
EXAMPLE Expand (root(x+3)+root(x-2))^2 and simplify.
Solution

Hence (root(x+3)+root(x-2))^2
=root((x+3))^2+2root((x+3)(x-2))+root((x-2))^2
=x+3+2root(x^2+x-6)+x-2
=2x+1+2root(x^2+x-6
Let’s see how our math solver simplifies this and similar problems. Click on "Solve Similar" button to see more examples.
Note (root(a)+root(b))^2!=a+b
(root(a)+root(b))^2=(root(a)+root(b))(root(a)+root(b))=a+2root(ab)+b When the radicals have different indices, we apply the rule root(n,a^m)=root(nk,a^mk)to make the indices the same as their LCM and then apply root(n,a)root(n,b)=root(n,ab).
EXAMPLES 1. root(3)root(3,3^2)=root(6,3^3)root(6,3^7)=root(6,3^7)=3root(6,3)
2. root(3,a^2)root(4,a^3)=root(12,a^8)root(12,a^9)=root(12,a^17)=aroot(12,a^5)
10.5 Division of Radical Expressions
THEOREM When a,b∈R,a>0,b>0, and n∈N, then root(n,a)/root(n,b)=root(n,a/b).
Proof root(n,a)/root(n,b)=a^(1/n)/b^(1/n)=(a/b)^(1/n)=root(n,a/b)
Radical expressions can be divided according to the above theorem only when the radical indices are the same. For different radical indices, the preliminary step to make them the same must be carried out.
EXAMPLES 1. root(15)/root(5)=root(15/5)=root(3)
2. root(x^3y^5)/root(x^2y)=root((x^3y^5)/(x^2y))=root(xy^4)=y^2root(x)
Sometimes the numerator of a fractional radicand is not an exact multiple of the denominator, for example root(3/2) To simplify such a radical, multiply both numerator and denominator of the radicand by the smallest number that will make the denominator a perfect root.
Note The denominator is a perfect root if the exponent of each factor is an integral multiple of the radical index.
To simplify root(3/2)multiply the numerator and denominator of the radicand by 2.
root(3/2)=root((3*2)/(2*2)=root(6)/2 or 1/2root(6)
It is easier to manipulate 1/2root(6) than root(3/2).
Remark When the radical expression is of the form a/(b√c), multiply the numerator and the denominator by root(c).
2/root(3)=2/root(3)=root(3)/root(3)=(2root(3))/3
4/root(50)=4/(5root(2))=4/(5root(2))=root(2)/root(2)=(root(2))/10=(2root(2))/5
EXAMPLE Divide root(15) by root(21)and put in standard form.
Solution root(15)/root(21)=root(15/21)=root(5/7)=root((5*7)/(7*7))=1/7root(35)
EXAMPLE Divide root(3xy) by root(4a^3b)and put in standard form.
Solution root(3xy)/root(4a^3b)=root((3xy)/(2^2a^3b))=root((3xy)/(2^2a^4b)*(ab)/(ab))
=root((3xyab)/(2^2a^4b^2))
=1/(2a^2b)root(3xyab)
EXAMPLE Put root((3a^2b^3)/(20xy^5))in standard form.
Solution root((3a^2b^3)/(20xy^5))=root((3a^2b^3)/(2^2*5xy^5)*(5xy)/(5xy)
=root((15a^2b^3xy)/(2^2*5^2x^2y^6)
=(ab)/(10xy^3)root(15bxy)
EXAMPLE Divide root(3,3) by root(3,20)and put in standard form.
Solution root(3,3)/root(3,20)=root(3,3/(2^2*5))=root(3,3/(2^2*5)*(2*5^2)/(2*5^2)
=root(3,(3*2*5^2)/(2^3*5^3))
=1/10root(3,150)
EXAMPLE Put root(3,(81x^6y^7)/(8a^8b^10)in standard form.
Solution root(3,(81x^6y^7)/(8a^8b^10)=root(3,(3^4x^6y^7)/(2^3a^8b^10))=root(3,(3^4x^6y^7)/(2^3a^8b^10)*(ab^2)/(ab^2))
=root(3,(3^4x^6y^7ab^2)/(2^3a^9b^12))=(3x^2y^2)/(2a^3b^4)root(3,3yab^2)
The definition of addition of fractions, (a+b)/c=a/c+b/c, is used to divide a radical expression with more than one term by a one-term radical.
EXAMPLE Divide and simplify (3root(6)-6root(10))/(3root(2)).
Solution (3root(6)-6root(10))/(3root(2))
=(3root(6))/(3root(2))-(6root(10))/(3root(2))
=root(6)/root(2)-(2root(10))/root(2)
=root(6/2)-2/1root(10/2)
=root(3)-2root(5)
EXAMPLE Divide and simplify (root(7x)-root(2y))/root(14xy).
Solution (root(7x)-root(2y))/root(14xy)
=root(7x)/root(14xy)-root(2y)/root(14xy)
=root((7x)/(14xy))-root((2y)/(14xy))
=root(1/(2y))-root(1/(7x))
=root((2y)/(2^2y^2))-root((7x)/(7^2x^2))
=1/(2y)root(2y)-1/(7x)root(7x)
When we multiply the radical expressions (root(a)+root(b)) and (root(a)-root(b)), we have get the rational expression (a-b). Each of the expressions (root(a)+root(b)) and (root(a)-root(b)) is called a rationalizing factor of other.
EXAMPLES 1. root(2)-root(3)is a rationalizing factor of root(2)+root(3).
2. 2+3root(2)is a rationalizing factor of 2-3root(2).
To facilitate the manipulation with a radical expression such as (root(2)+root(3))/(2root(2)+root(3)), we change the fraction to an equivalent one with a rational denominator. This can be accomplished by multiplying both numerator and denominator by the rationalizing factor of the denominator, 2root(2)-root(3).
This operation is called rationalizing the denominator
EXAMPLE Rationalize the denominator of root(2)/(2-root(3)).
Solution root(2)/(2-root(3))
=(root(2)(2+root(3)))/((2-root(3))(2+root(3))
=(2root(2)+root(6))/(4-3)=2root(2)+root(6)
EXAMPLE Rationalize the denominator of (root(2)+root(3))/(2root(2)+root(3)).
Solution (root(2)+root(3))/(2root(2)+root(3))
=((root(2)+root(3))(2root(2)-root(3)))/((2root(2)+root(3))(2root(2)-root(3))
=(1+root(6))/(8-3)
=1/5(1+root(6))
Let’s see how our math solver simplifies this and similar problems. Click on "Solve Similar" button to see more examples.